Herramientas de usuario

Herramientas del sitio


numbers:algebra

Algebra

Vectores

Un vector (V) es una agrupación de n números que pueden representar desde un punto en el espacio, hasta una dirección u orientación y es expresado de la siguiente forma:
V = (V_1, V_2, V_3 ... V_n)

Si un vector (P) que correspondiese a un punto con las tres coordenadas correspondientes a las dimensiones sería:
P = (P_x, P_y, P_z)

Los vectores pueden ser expresados como matrices:
V = delim{[}{matrix{3}{1}{V_1 V_2 V_3 ... V_n}}{]}

Propiedades

Utilizando los vectores V, P, Q y R y un escalar a:

  • aV = (aV_1, aV_2, aV_3 ... aV_n) Si multimplicas un escalar por un vector este se multiplica por cada uno de sus componentes.
  • P + Q = (P_1 + Q_1, P_2 + Q_2, P_3 + Q_3 ... P_n + Q_n)
  • P + Q = Q + P

Suma de vectores

Para encontrar el camino directo entre el punto (0,0) y el camino definido por los vectores (3, 1), (-2, 4), (6, -2) y (-2, 4), lo único que tendríamos que hacer es sumar todos los vectores:
Nueva x: 3 + (-2) + 6 + (-2) = 5
Nueva y: 1 + 4 + (-2) + 4 = 7

Determinar vectores

Imaginemos un coche viajando a 50kmh que va a una dirección de 30º desde el punto (0,0).

Gracias a la trigonometría sabemos que:
cos{alpha} = {cateto contiguo} / hipotenusa
sin{alpha} = {cateto opuesto} / hipotenusa

Por lo tanto deducimos (correctamente) que cada hora el cohe se moverá:
50 cos{30} = 43,3 km en x
50 sin{30} = 25 km en y

Magnitud de un vector

  • La magnitud (o longitud o módulo) de un vector (V) es un escalar (delim{vert}{V}{vert}) que indica su tamaño.
  • La magnitud se calcula con la siguiente fórmula:

delim{vert}{V}{vert} = sqrt{sum{n=1}{n}{{V_n}^2}}

  • Por ejemplo, para un vector de 3 dimensiones sería:

delim{vert}{V}{vert} = sqrt{{V_x}^2 + {V_y}^2 + {V_z}^2}

  • Cuando la magnitud de un vector es 1 entonces este vector es llamado vector unidad.

Normalizar un vector

Un vector normalizado es aquel que su magnitud es 1, por lo tanto podríamos decir que la normalización es convertir un vector a un vector unidad, para ello lo multiplicaremos por 1/delim{vert}{V}{vert} (es decir, dividimos cada uno de sus componentes por la magnitud). Por ejemplo, un vector de 3 dimensiones:
V_normalizado = (V_x/delim{vert}{V}{vert}, V_y/delim{vert}{V}{vert}, V_z/delim{vert}{V}{vert})

  • Un vector normal se refiere a un vector que es perpendicula a una superficie en un punto concreto, no confundir con vector normalizado.

Producto escalar (dot product)

Es un número que permite medir la diferencia entre las direcciones a las que apuntan dos vectores. Este número es dado por la fórmula:
P · Q = sum{i=1}{n}{P_i Q_i}

En vectores que representan coordenadas 3D, el producto escalar sería la suma de sus componentes multiplicados:
P · Q = P_x Q_x + P_y Q_y + P_z Q_z

El producto escalar satisface la siguiente ecuación:
P · Q = delim{vert}{P}{vert} delim{vert}{Q}{vert} cos {alpha}
Donde alpha es el angulo que existe entre las dos lineas conectadas en el orígen.

Encontrar pues el ángulo entre dos vectores es muy sencillo. Si normalizamos P y Q tenemos que delim{vert}{P}{vert} = 1 y delim{vert}{Q}{vert} = 1 y por lo tanto:
P · Q = cos {alpha}
Es decir,
P_x Q_x + P_y Q_y + P_z Q_z = cos {alpha}

Esto nos desvela un par de cosas a tener en cuenta:

  • Si P · Q = 0 entonces los vectores P y Q son perpendiculares. (La función del coseno es 0 para un ángulo de 90º).
  • El signo del producto escalar nos dice cuan cercanos son un punto de otro y si apuntan a la misma dirección. Por ejemplo, en la siguiente imágen, estando P perpendicular al orígen del sistema de coordenadas, el producto escalar entre P y Q será positivo si están en la misma parte del eje, negativo si no.


La longitud del lado adyacente a alpha es dada por delim{vert}{P}{vert} cos alpha:
delim{vert}{P}{vert} cos alpha = {P · Q}/delim{vert}{Q}{vert}
Para obtener una proyección de P sobre Q:
proj_Q P = {P · Q}/delim{vert}{Q}{vert}^2 Q

Producto cruzado de dos vectores 3D

También llamado vector producto, es un vector perpendicular a los dos vectores dados. Se calcula como:
P x Q = ((P_y Q_z) - (P_z Q_y), (P_z Q_x) - (P_x Q_z), (P_x Q_y) - (P_y Q_x))

Esta fórmula proviene del cálculo del determinante de una matriz.
El producto cruzado cumple la siguiente ecuación:
delim{vert}{P x Q}{vert} = delim{vert}{P}{vert} delim{vert}{Q}{vert} sin {alpha}
Donde alpha es el angulo que existe entre las dos lineas conectadas en el orígen.


La dirección de este vector está determinada por el orden de los operandos, para poder entenderla debemos comprender la regla de la mano derecha donde “asignamos” al dedo índice el primer operando, al corazón (el del medio) el segundo y el producto cruzado correspondería al pulgar:

Matrices

Las matrices no son más que una forma de organizar números en filas y columnas.
A = delim{[} { matrix{3}{3}{1 2 3 4 5 6 7 8 9}  } {]}
Para acceder a sus posiciones:
A = delim{[} {matrix{2}{3}{a_00 a_01 a_02 a_10 a_11 a_12}} {]}
La dimensión de una matriz es el número de filas por el número de columnas. Es decir, una matriz de 2×3 es una matriz de dos filas por tres columnas.
La matriz identidad es aquella que en su diagonal tiene el valor 1 y en los demás valores 0:
A = delim{[} {matrix{3}{3}{1 0 0 0 1 0 0 0 1}} {]}
La multiplicación de matrices no es conmutativa a no ser que sea con una matriz identidad (I): A * I = A ; I * A = A ; A * I = I * A

Suma y resta de matrices

Para realizar esta operación las dos matrices han de tener la misma dimensión.
La operación se realiza en cada uno de sus elementos con el elemento de la otra matriz en la misma posición:

Multiplicación por un escalar

Para ello se multiplica cada elemento de la matriz por el escalar:
B = delim{[} {matrix{2}{3}{3 6 {-4} 0 {-1} 2}} {]}
-5B = delim{[} {matrix{2}{3}{{-15} {-30} 20 0 5 {-10}}} {]}
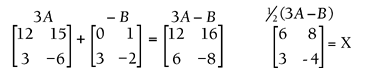
Resolver ecuaciones sería sencillo, por ejemplo, teniendo: A = delim{[} {matrix{2}{2}{4 5 1 {-2}}} {]} y B = delim{[} {matrix{2}{2}{0 {-1} {-3} 2}} {]} podríamos intentar resolver: 2x = 3A - B
2x = 3A - B
½(2x) = ½(3A - B)
x = ½(3A - B)

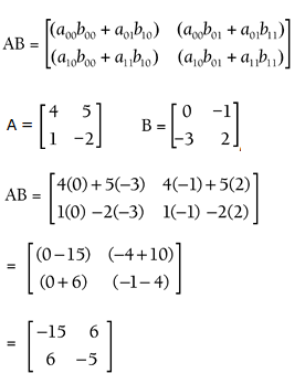
Multiplicación de matrices

La multiplicación se realiza de la siguiente forma:

La multiplicación de matrices no es conmutativa (AB ≠ BA). Sólo puede realizarse cuando el número de columnas de la primera es igual al de las filas de la segunda:

Matriz traspuesta

Es la que se obtiene de intercambiar filas por columnas, la traspuesta de A la indicamos como A^T:
A = delim{[} { matrix{2}{4}{2 {-1} 3 8 0 5 1 4} } {]} ; A^T = delim{[} { matrix{4}{2}{2 0 {-1} 5 3 1 8 4} } {]}

Matriz simétrica

Es una matriz cuadrada que es traspuesta de sí misma:

Matriz inversa

Al igual que en números reales tenemos la identidad (1) tenemos también inversos, aquellos números que al multiplicarlos con ellos nos da la identidad:
1 = 3 · 3^-1 = 3 · 1/3
Con las matrices también tenemos las matrices identidad y las inversas que cumplen lo siguiente (para una matriz cuadrada A y la identidad I):
A · A^-1 = A^-1 · A = I
Por ejemplo:
delim{[} { matrix{2}{2}{3 4 2 16} } {]} delim{[} { matrix{2}{2}{0.4 {-0.1} {-0.05} 0.075} } {]} = delim{[} { matrix{2}{2}{1 0 1 0} } {]}

Las matrices inversas nos permiten resolver ecuaciones con matrices, por ejemplo, teniendo cuatro matrices: A, B, C y D, Entonces:
A B = C D ; B = A^{-1} C D

Rango de una matriz

Es el número máximo de columnas (y filas) que son linealmente independientes.

Algebra lineal

Combinación linear

Una combinación linear es una expresión construida a partir de un conjunto de elementos (variables, funciones, vectores…) en la que se multiplica cada uno de sus términos por una constante y se suman los resultados. Utilizado para encontrar características relacionadas.
Por ejemplo una combinación de x y de y sería una expresión del tipo ax + by donde a y b son constantes.

Diremos que un conjunto de vectores es linealmente independiente si ninguno puede escribirse como una combinación lineal de los otros. Dos vectores son independientes si no tienen la misma dirección (sentidos idénticos u opuestos (el vector nulo tiene todas las direcciones)).

numbers/algebra.txt · Última modificación: 2020/05/09 09:25 (editor externo)